近日,草榴社区
害虫生物防治团队联合美国肯塔基大学、加利福尼亚州立大学、丹麦奥胡思大学、巴西农科院等单位在国际著名期刊《BMC Biology》上发表题为“Global patterns of genomic and phenotypic variation in the invasive harlequin ladybird”的研究论文。该研究基于群体基因组学和表型生物学的比较分析,明确了异色瓢虫从亚洲扩散至其他大洲的种群遗传结构、进化历程及其基因单倍型的生活史特征。研究成果为认识异色瓢虫的成功入侵机制提供了新的见解。
异色瓢虫(Harmonia axyridis Pallas)是一种重要的捕食性天敌昆虫,其对多种蚜虫、螨类、粉虱、介壳虫等具有较强的控害能力。因此,被作为生防天敌引入美洲、欧洲等国家,但在引入地的种群快速扩张对本土瓢虫多样性造成了一定的负面影响,故在一些国家被列为入侵害虫。鉴于异色瓢虫生防天敌与入侵害虫的“双重身份”,其在遗传学、种群生物学及生物防治等领域引起众多学者的广泛关注。
尽管在过去的几十年中,运用分子标记在异色瓢虫入侵方面取得了显著的进展,但得出的结论仍不够可靠,亟待运用更加完善的基因组分析方法和分析更多的样本加以证实。此外,缺乏对本土与入侵种群生活史特征的比较研究。
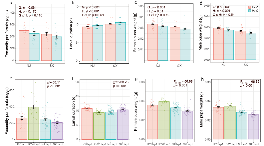
本研究对采自中国、欧洲、南、北美洲的29个地理种群样本开展了线粒体与核基因组测序分析,深入解析了异色瓢虫的全球种群遗传结构,获得如下主要发现。(1)中国东部种群可能是非本地种群的主要入侵来源,欧洲种群是中国东部和美洲种群的混合群体;(2)通过群体自然选择分析发现一些与适应性相关的候选基因位点,这些基因位点主要涉及体色变异、视觉感知和血淋巴合成等;(3)进化历史估计的分析结果表明,异色瓢虫在本地和非本地范围内存在不同规模的不对称迁移(4);(4)明确了其在中国本土范围内的起源和扩散路线;(5)发现两种线粒体单倍型(Hap1和Hap2)在本土地区占主导地位,但在非本土地区Hap1是唯一的优势单倍型(图1),Hap1在一些生活史特征上优于Hap2(图2)。综上,该研究为异色瓢虫从原产地向其他大陆的成功入侵提出了新见解。
草榴社区
的李保平教授和美国加利福尼亚圣地亚哥州立大学的Arun Sethuraman副教授为本论文的通讯作者,已毕业博士生李洪冉(现为中国农科院深圳农业基因组研究所博士后)为论文第一作者,美国肯塔基大学的John Obrycki教授、周序国教授和丹麦奥胡思大学的Gábor L. Lövei教授参与了该项研究。该研究得到了国家重点研发计划(2017YFE0104900)和国家留学基金对中方合作者的支持,并得到美国农业部项目对美方合作者的支持。

图1. 异色瓢虫mtCOI单倍型的系统发育关系及全球分布范围

图2 原产地与入侵地异色瓢虫优势单倍型生活史特征差异
编:李保平
校:张 聪
审:邵 刚